谈到爱情时,做出长期的承诺无疑是件冒险的事。 但是迟早,我们大多数人都会决定结束自己的单身生活安顿下来。当我们的事业步入正轨,便到了找一个人共度此生的时候了。 然而,当我们遇到一个真正的“命中注定的爱侣”时,我们怎么确定就是他(她)呢?

是否有谁知道一些方程式和图表可以指引导你的爱情生活? 数学家汉娜·弗莱(Hannah Fry在研究中发现了一个可以找到命中注定的另一半的公式。
谈到爱情时,做出长期的承诺无疑是件冒险的事。 但是迟早,我们大多数人都会决定结束自己的单身生活安顿下来。当我们的事业步入正轨,便到了找一个人共度此生的时候了。 然而,当我们遇到一个真正的“命中注定的爱侣”时,我们怎么确定就是他(她)呢? 大概任何理性的人都会告诉你的,只要耐心等待,总会能找到一个性格很好在经济能力上也很有前景的完美另一半。但是只要询问任何一个为此困扰过的人就会发现性格很好,多金又善于社交的单身人士其实难以寻得,鱼与熊掌总难以兼得。

如果你决意永远不要安顿下来,你可以在生命的尽头开始回忆,列出过去曾经历过的每一个人,并且为每个人分析如果他们成为了你的生活伴侣的优势,但是这样的名单到那时就没有意义了。如果你能早点拥有这个名单,就会使选择一个最佳的生活伴侣变得更容易。 只是最大的问题是,如果你不知道任何信息,你可以如何选择你期待中的最佳伴侣呢?
“年少时,可以多花点时间在爱情上,尝试拒绝你遇到的每一个人,直到你觉得对此已经拥有一定的眼界。”
让我们设想一个简单的规则:一旦你决定安顿下来,让自己离开不断恋爱约会的游戏,你将不会再出现在别人的约会名单上,与此同时,一旦你拒绝某人,你也不能再回头改变主意。这也是我个人的经验,反正,人们似乎都很厌恶在被拒绝了几年之后,身边因为没有更好的人陪伴而又回头被传唤。
以这种方式构建约会,在数学领域中被称为“最佳停止理论”,它可以为你寻找最佳伴侣提供最好的策略。 结论是令人惊讶的:年少时,可以多花点时间在爱情上,尝试拒绝你遇到的每一个人,直到你觉得对此已经拥有一定的眼界。然后,等这个阶段过去了,选择那个你所遇到的比以往任何一个都好的人作为伴侣。
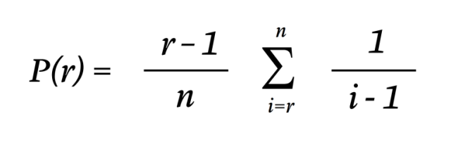
最优停止理论也有进一步的拓展。因为事实证明,与最佳伴侣(在下面的等式中用P表示)的关系确定和定居的可能性在一个非常有趣的公式中与你拒绝(n)你的潜在恋人的数量(r)有关的:

这个公式可以告诉你在你寻找最佳伴侣的过程中有多少人会拒绝你。 它告诉你,如果你在一生中注定要遇到十个人恋人,那么当你拒绝你的前四个恋人(他们会耗费大概39.87%的时间)时,你最有可能找到你的最佳伴侣。 如果你注定要遇到20个恋人,你应该拒绝前八个(最佳伴侣将会等待你38.42%的时间)。 而且,如果你注定会有无数的伴侣,那么你应该拒绝前37%,你将得到三分之一的成功机会。
我是一个数学家,因此可能分析有失偏颇,但这个结果真的让我震惊。如果你选择不遵守这一策略,而是随机选择一个伴侣,那么你一生中只能有1 / n的机会找到你真正的爱情,换言之如果你一生注定有20个恋人,那这个几率只有5% 。 但是,如果拒绝了前37%的恋人,并遵循这一策略,你可以大大改变自己的命运。就算你的潜在恋人是20位,找到最佳伴侣的几率也高达38.42%。
接下来,你可能会发现这个计划的缺陷。 除非你是十五世纪英国皇室的成员,否则你的潜在恋人不会提前排队,你无法知道这一生会与多少人相爱。 你也不可能约会无数人。
“要在三个月内找个地方住所吗? 那就拒绝在第一个月看过的所有房子,然后在接下来的时间里选择到目前为止你遇到的最喜欢的那间。“
幸运的是,这个问题的第二个版本更适合于我们普罗大众,而且还得到了一个令人印象深刻的结果。问题的关键不是知道你会有多少恋人,而是你期望自己谈恋爱的世界。数学是非常严格的,尽管规则是相同的 - 但是这一次,37%适用于时间而不是人数。
如果说你15岁时开始约会,而且期望在40岁的时候安顿下来。在约会时间的前37%(直到24岁生日之后),你应该拒绝所有人,并使用这个时间段来思考对过往恋人的感觉和对未来生活伴侣的期望。一旦拒绝阶段过去,请选择下一个目前为止所遇到的最佳伴侣。 遵循这一策略一定会给你最好的机会找到你的虚拟名单上的最佳伴侣。 但是,也必须注意:这个策略有它的不足之处。
想象一下,在37%的拒绝阶段,你也可能会遇到你的最佳伴侣。但是,因为还没有遇到每个人,你无法确定他是不是最好的那个,你会让他离开。不幸的是,一旦你开始认真地考虑寻找一个生活的伴侣时,却没有一个更好的人再出现。根据这个规则,你应该继续拒绝在你的余生中出现的其他人,直到孤独老去,死去,然后因此对数学公式深感仇恨。 同样地,假设你依然很不幸运,在你前37%的时间里遇到的每个人都是沉闷无聊的。 你因为处于拒绝阶段,所以最终不会和他们一起度过。现在想象一下,你所选择的下一个人相对之前的人只是稍微不那么可怕,但是你仍然遵循数学规则,非常可悲,你会嫁给他,然后发现自己被困在噩梦般的婚姻之中。
除了选择最佳伴侣之外,这一策略也适用于许多其他情况。比如人们寻找某种东西时,希望知道最佳停止寻找的时间。要在三个月内找个地方住所吗? 那就拒绝在第一个月看过的所有房子,然后在接下来的时间里选择到目前为止你遇到的最喜欢的那间。聘请助理时拒绝前37%的候选人,然后把工作交给下一个你遇到的最合适的人。事实上,寻找助理是这个理论中用的最多的情况,因此这种方法也常被称为“秘书问题”。
“如果你对综合条件前15%的恋人就很满意,那你只需花费19%的时间去做出决定。”
我可能在恋爱背景下过多阐述了这个“拒绝37%”的策略,因为在数学假设下你只对找到最佳伴侣感兴趣。 但是,如果您对于最终的结果有所放宽,情况会稍有改观。 实际上,即使没有找到最佳伴侣,我们中许多人依然喜欢和一个相对不错的伴侣在一起而不是孤单一人。如果你对那些在你的潜在最佳伴侣中综合条件排名前5%或15%的人也十分满意,那是不是还需要坚持这一策略呢?
数学依然可以提供答案。我们可以使用一个被称为蒙特卡罗模拟的方法。这个方法是在计算机程序中设置一个数学的“土拨鼠日”,为你模拟成千上万个不同的生命周期,每个生命周期随机出现,同时也会出现不同条件水平的伴侣。这些生命周期里都经历上述37%的不同排除阶段,通过该方法你可以尝试每一次生活中会发生什么。在每个模拟生命周期结束后我们都会做出总结,程序会回顾全部你所可能拥有的最佳伴侣,并且如果发现结果与该公式计算所得相统一,则认为是成功的。
如果你在每个拒绝阶段重复此过程,只变化其中三个变量(最佳伴侣,在前5%的优秀伴侣,在前15%的优秀伴侣),你可能会得到这样一个曲线图:

红线是我们原来的问题。在这里,成功率最高的机会是数学预测的37%的拒绝阶段,同时给您提供了37%的机会与最佳伴侣共度余生。
但是,如果标准放宽了,你很乐意和生命中综合条件前5%恋人共度余生,那你需要的就是黄线。在这里,如果你拒绝出现在约会时期的前22%中的伴侣,并选择下一个比以前遇到过的人都更好的人,你将最有可能遇到陪伴一生的人。按照这一方法,你和这位可以排入前5%的伴侣有57%的可能性共度余生。
而如果你对综合条件前15%的人就很满意,你只需要花费19%的时间恋爱,感受恋爱的一切,就像蓝线一样。使用这一策略,您预期拥有78%的成功率,风险将远远低于传统的方法。

但这些想法还不够完美。生活伙伴不像房子或助手,只要你能负担得起,这就是你的生活。但是,尽管如此,我认为这个简单的问题可以为现实世界的情景增加一些很好的洞察力,即使你不能完全依靠计算值来确定自己的伴侣。毕竟,这就是数学的真谛 - 从现实世界中抽象出来,以帮助揭示一些隐藏的模式和关系,否则这些隐藏的模式和关系就会被包含在诸如情绪之类的凌乱的事情中而难以被看清。
大视窗
新闻热点
新闻聚焦